إرشادات مقترحات البحث معلومات خط الزمن الفهارس الخرائط الصور الوثائق الأقسام

مقاتل من الصحراء
Home Page / الأقســام / موضوعات علمية / الكهرباء، واللاسلكي، والإلكترونيات




منظر من الجو لطبق أريسيبو
أجهزة الرؤية والتنشين الحراري
مستشعر أرضي قصير المدى
مستشعر بعيد المدى
مستقبل لنظام تحديد المواقع
استخدام الحاسب للتوقيع
جهاز تقدير المسافة اليدوي
دبابة بالأشعة
صورة حاسب ميداني
طائرة موجهة من دون طيار
صاروخ موجهة بالأشعة دون الحمراء

. التيار والجهد في ملف حث
إمالة الهوائي لخفض الصاري
ممانعة دائرة الرنين
نهاية قمعية هرمية
هوائي متحد زاوية الطور
هوائي مركب
هوائي مزود بعاكس
هوائي الإشعال العلوي
هوائي ثنائي القطبية
هوائي حرف L
هوائي حرف T
هوائي شكل حرف V
موجة التعديل
منحنى التيار للوصلة الثنائية
منحنى التكبير
منطقة الصمت
ملف الإطالة
مثال لدائرة تعديل سعوي
نبضات دائرة المفاضل
مجالات الموجات الكهرومغنطيسية
مجزئ الجهد
إطالة الهوائي بإضافة أفرع
إطالة الهوائي بإضافة فرع
إطالة الهوائي بإضافة فرعين
مسار الموجات السماوية
أساس الإرسال والاستقبال اللاسلكي
مستنزف التيار
مذبذب مكبر ذو تغذية
مقوم موجة ذو مكثف
مقوم الموجة الكاملة
مقاومة التوازي لقياس التيار
النموذج الإشعاعي لهوائي
الهوائي متخالف زاوية الطور
الهوائي المائل
الهوائي ثنائي القطبية المزدوج
الهوائي ذو الشكل المعين
الموجات الكروية
الموجة التوافقية
الموجة الحاملة بعد التعديل
الموجة الحاملة قبل التعديل
الموجة العالية ترددياً
المنحنى الترددي للمكبر
الوصلة الثنائية
المذبذب أحادي الاستقرار
المذبذب ثنائي الاستقرار
المذبذب عديم الاستقرار
المقاومة لقياس التيار
المقياس ذو الملف المتحرك
التمثيل البياني للجهد
التوصيل الأمامي
التوصيل الأمامي للوصلة الثنائية
التوصيل المختلط
التوصيل الخلفي للوصلة الثانية
التوصيل على التوالي
التوصيل على التوازي
التيار والجهد في مكثف
التيار والجهد في مقاومة
التيار وفرق الجهد
التيار المتردد لدورة كاملة
التيار المرشح
التيار الكهربي المستحث
التيار بعد التقويم
الترددات الجانبية
التعديل النبضي
التعديل النبضي الموضعي
التغذية الرجعية
الجهد الحاجز
الجهد الحاجز في التوصيل الخلفي
الحيزات الجانبية
الرابطة التساهمية لذرة الجرمانيوم
الرسم الطوري
السلك المحوري
السلك المجدول
السلك المفرد
العمود الجاف
العلاقة بين الجهد والمحور
الفيض المغناطيسي لملف لولبي
الفيض المغناطيسي لحلقة
الفيض المغناطيسي لسلك
استنتاج علاقة الممانعة والتردد
بلورة القاعدة
تأثير الانعكاس على الهوائي
تأثير انحناء سطح الأرض
تأثير سطح الأرض
تأثر الاتصال بارتفاع الهوائيات
توصيل أربعة مصابيح
توصيل مصباح بسلك
تنفيذ الدائرة المتكاملة بالترانزيستور
تجميع الشعاع الإلكتروني
تجربة نقطة الزيت لميلكان
تجربة قياس الشحنة النوعية
تدريج مقياس المقاومة
ترسيب ترانزيستور
تطبيق نورتون الخطوة الثانية
تطبيق ميلمان الخطوة الأولى
تطبيق ميلمان الخطوة الثانية
تطبيق سفنن المرحلة الأخيرة
تطبيق سفنن الخطوة الأولى
تطبيق سفنن الخطوة الثانية
تغذية الترانزيستور N P N
جهد المسح
جهد المصدر والجهد المستحث
خلية فولتايك
دائرة لتقويم التيار المتردد
دائرة مذبذب
دائرة مذبذب عديم الاستقرار
دائرة المكامل
دائرة القطع
دائرة توضح قانون أوم
دائرة تحليل الدوائر الكهربية
دائرة تكبير باستخدام ترانزيستور
خرج مقوم الموجة الكاملة
حركة الإلكترون
خطوط الفيض المغناطيسي
خطوط عمل المجال المغناطيسي
رمز الوصلة الثنائية
رمز الترانزيستور N P N
رمز الترانزيستور P N P
رسم موجه جيبية
صمام أشعة المهبط
صورة الكهربية لسلك أفقي
صورة الكهربية لسلك رأسي
شبه موصل موجب
شبه موصل سالب
طبقات الأيونوسفير
زيادة مسافة الاتصال
شدة التيار وفرق الجهد
طريقة تنفيذ دائرة متكاملة
كود ترقيم المقاومات
كسر الرابطة التساهمية
علاقة قانون أوم
عمق التعديل السعوي
ظاهرة الاضمحلال
عاكس قطع مكافئ
فارق زاوية الطور
ذرة النحاس
ذرة الهيدروجين
ذرة الكربون
قواعد جبر المتجهات
قانون نورتون الخطوة الأولى
قياس مستويات التيار
قياس مستويات جهد مختلفة
قياس المقاومة
قياس فرق الجهد
قطار النبضات




الفصل الثالث

رابعاً: اتصالات الأقمار الصناعية

أصبحت الأقمار الصناعية للاتصالات، تمثل جانباً مهماً في توفير الاتصالات الهاتفية، ونقل القنوات التليفزيونية، إلى أجزاء عديدة من الكرة الأرضية، نظراً لتغطية تلك الأقمار المتزامنة Synchronous satellite ، مساحات شاسعة من الكرة الأرضية، قد تصل إلى ثلث الكرة الأرضية للقمر الواحد.

ومع اتساع أرض المعارك، وقيام التجمعات العسكرية المتحالفة، لزم امتداد المواصلات العسكرية إلى مساحات شاسعة، وهكذا يتزايد دور الأقمار الصناعية لتوفير الاتصالات العسكرية.

1. نظام الاتصال بواسطة الأقمار الصناعية:

الاتصال بواسطة الأقمار الصناعية، عبارة عن اتجاهات مفردة، لمواصلات الموجات المتناهية القصر ميكروويف، متعددة القنوات، ذات خط رؤياً مباشر بدون عوائق Clear line of sight، مع وجود محطة إعادة الإذاعة Repeater station في القمر الموجود بالفضاء.

يلاحظ أن المسافة، بين محطتين لاتجاه متعدد القنوات، لا تزيد في الغالب على 60 كم، نظراً لتأثير كروية الأرض كعائق في مواجهة مسار الأشعة المرسلة والمستقبلة، بينما في حالة وجود محطة إعادة الإذاعة في القمر الصناعي، فإن الأشعة المرسلة والمستقبلة، لا تعترضها أي عوائق.

يقوم الجزء المختص بالاتصالات في القمر الصناعي، والمسمى بالمستجيب Transponder، بتحقيق الاتصال بين عشرات من المحطات الأرضية، Earth stations؛ فبينما يتكون محور متعدد القنوات، من عدد من المحطات النهائية، ومحطات إعادة الإذاعة، طبقاً للبعد بين الأماكن، المراد تحقيق الاتصال بينها، فإن هذا المحور بواسطة الأقمار الصناعية، يتكون من محطتين أرضيتين، وإعادة الإذاعة بالأقمار الصناعية، وذلك مهما كان طول المسافة بين المحطتين.

2. تقنية الدخول المتعدد في الأقمار الصناعية Multiple Access Technique

نظراً لامتداد المساحة، التي تغطيها الأشعة، من هوائي القمر الصناعي، فإن ذلك يتيح لمجموعة من المحطات الأرضية، الاتصال من خلال القمر نفسه، ولدخول تلك المجموعة من المحطات الأرضية، على القمر توجد عدة أساليب، وعند وضع أي نظام اتصال يسمح بالدخول المتعدد لمجموعة من المحطات الأرضية، يجب مراعاة الآتي:

أ. عندما تشترك مجموعة من المحطات الأرضية للاتصال، عبر قمر مشترك، فإن مواصفات هذه المحطات، قد لا تتطابق من حيث الحيز الترددي لكل محطة، ونظام التعديل،وأنواع القنوات المرسلة، وعلى ذلك يجب أن يحدد نظام، بحيث يمكن استخدم القمر بكفاءة، من حيث قدرة أجهزة الاتصالات بالقمر، والحيز الترددي الكلي، وقطر الهوائي المستخدم.

ب. هناك ظاهرة تأثر الإشارات من المحطات المختلفة، نتيجة للتعديل البيني Intermodulation، الذي ينتج من عدم استقامة منحنيات خواص مكبر القدرة، TWTA، لأجهزة القمر قرب التشبع، وبالتالي يجب أن يقلل النظام المستخدم من هذا التأثير، على اتصال المحطات الأرضية.

ج. في الاتصالات العسكرية، يجب أن تكون الإشارات المرسلة مشفرة بالكامل، ولها مواصفات خاصة، تتحمل التشويه الموجه، والتداخل، لذا يجب أن يقبل النظام تلك الإشارات المشفرة، أو يكون النظام نفسه، يعتمد في عمله علي السرية الكاملة؛ وتوجد ثلاثة أنظمة رئيسة لدخول المحطات الأرضية على المستجيب في القمر الصناعي، أهمها نظام الدخول ذو التقسيم الكودي، وهو الأنسب للاستخدام العسكري.

3. نظام الدخول ذو التقسيم الترددي Frequency Division Multiple Access

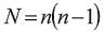
هذا النظام يتيح استخدام القمر، في الاتصال بين عدة محطات أرضية، بواسطة تخصيص تردد حامل لكل محطة أرضية، بحيث تصل إلى القمر، فتكون علn هيئة عدة ترددات حاملة، متجاورة، وذات عرض نطاق محدود، يمكن تكبيرها بواسطة المستجيب؛ النظام المتكامل، FDM-FM-FDMA، الذي يحمل أكثر من قناة هاتفية، بنظام التقسيم الترددي، FDM، ثم يتم تعديل الحيز باستخدام تعديل التردد، FM ، بالتردد المرسل من المحطة الأرضية، خلال نظام دخول متعدد ذي تقسيم ترددي FDMA؛ بفرض أن عدد المحطات المطلوب تحقيق الاتصال فيما بينها عن طريق مستجيب في القمر الصناعي، هو n فإن هذه المحطات ترسل عدد N من الترددات في الوقت نفسه، إذ تحدد قيمة N من العلاقة الآتية:

ولتحسين هذا الوضع، في نظام FDMA ، تستعمل الموجات متعددة الاتجاهات Multi Destination Carriers، وبهذا الأسلوب تجمع الإشارة الهاتفية، للجهات المتعددة، بكل محطة، في حيز أساسي واحد، Base band، ويرسل من خلال تردد مرسل واحد، وفي الاستقبال، يتم استقبال هذا التردد، ثم استخلاص القنوات المطلوبة من الحيز الأساسي، وهكذا فإن عدد الموجات المرسلة ينخفض إلى n فقط من الترددات، ويقل تأثير التعديل البيني.

4. نظام الدخول ذو التقسيم الزمني Time Division Multiple Access TDMA

في هذا النظام، يستخدم التقسيم الزمني للدخول المتعدد، لمجموعة من المحطات الأرضية، لها التردد نفسه، الذي يشغل حيزاً مستجيباً كاملاً؛ بالتقسيم الزمني، ترسل كل محطة إشاراتها على شكل دفعات Bursts، وذلك خلال شريحة زمنية مخصصة لها، Time slot، ثم تتابع باقي المحطات الأرضية بالأسلوب نفسه، ويستغرق مجموع الدفعات المتتالية للمحطات الأرضية، المشتركة في النظام، زمناً قدره حوالي 2 مللي ثانية؛ ومن مميزات الاتصال المتعدد ذي التقسيم الزمني:

أ. يعمل المستجيب، عند نقطة التشبع أو قريباً منها، ولا توجد ظاهرة التعديل البيني؛ لأن كل الإشارات المرسلة تشغل حيز التردد نفسه.

ب. عدم انخفاض سعة قنوات المستجيب، بزيادة عدد المحطات الأرضية كما هو الحال في نظام FDMA، وهذا يعني زيادة سعة القنوات في نظام TDMA.

ج. سهولة التحكم الآلي في المحطات الأرضية، والتعامل معها بواسطة ومن خلال الدوائر الرقمية.

د. إمكان استخدام الأسلوب النبضي لاستكمال التخاطب Digital Speech Interpolation، الذي يعتمد على أنه في أي دائرة تخاطب، هناك فترات توقف؛ في هذه الفترات، يتم إدخال قنوات أخرى، مما يعمل على زيادة عدد القنوات بما يصل إلى 2.4 مرة.

هـ. في نظام التقسيم الزمني، يكون التحكم في تعيين الدفعات، عن طريق البرمجيات Software، مما يعني السرعة والسهولة، بينما توزع الموجات في نظام التقسيم الترددي بواسطة الدوائر الإلكترونية،Hardware، مما يتطلب أجهزة إضافية.

5. نظام الدخول ذو التقسيم الكودي Code Division Multiple Access

في هذا النظام، تشغل كل محطة أرضية، حيز التردد نفسه، كما في نظام التقسيم الترددي، وكذلك الزمن نفسه كما في التقسيم الزمني، أي أن النظام يجمع بين الاستمرارية، وعدم تغيير الحيز المرسل؛ لكن الإشارات من المحطات الأرضية تعامل بكود (مفتاح) خاص لكل محطة، ويختلف عن كود المحطات الأخرى، وبالتالي فإن المحطة الأرضية المستقبلة، تكون على علم بهذا الكود، وفي تزامن تام مع الإرسال؛ وهناك طريقتان لتنفيذ هذا النظام، هما الترتيب المباشر Direct Sequence، و القفز الترددي Frequency hopping، إذ يضاف في الطريقة الأولي، كود خاص للمعلومات، قبل إجراء التعديل في جهاز الإرسال، وفي الاستقبال يدخل هذا الكود مع عملية الكشف؛ أما في الطريقة الثانية، فتخلط الموجات المعدلة، وموجة أخرى ذات تردد متغير، إذ يعتمد هذا التغير على كود خاص لكل محطة؛ هذا النظام يلائم الاستخدامات العسكرية نظراً للميزات الآتية:

أ. لا يتأثر بالإعاقة والشوشرة المعادية، إذ تختزل ويخفض تأثيرها على الإشارات المرسلة.

ب. يصعب التسمع على محتوى الاتصال، إلا بأجهزة خاصة.

ج. سرية الاتصال، التي تعتمد على التكويد ومفاتيحه.

بعض التطبيقات في المجال المدني

خامساً: التليفزيون

التليفزيون، أو الإرسال التليفزيوني، أكثر التقنيات الإلكترونية انتشاراً على مستوى العالم، فعلاوة علي استغلاله وسيلة ترفيهية وتعليمية، فإنه يدخل في العديد من النواحي الأخرى المتنوعة، التي تحتاج لنقل الصورة في الوقت الحقيقي، أي نقل صورة الحدث وقت وقوعه، مثل وكالات الأنباء، و أعمال المراقبة الأمنية، ومراقبة التجارب العلمية الدقيقة، ومتابعة التفاعلات، ووسائل الاستشعار عن بعد، التي تعتمد على الصور المرئية، … الخ، ولعل من أشهر المشاهد التي نقلت تليفزيونياً خلال القرن العشرين، وبثت إلى جميع أنحاء العالم، مشهد الخطوات الأولى لأول إنسان على سطح القمر.

بدأ الإرسال التليفزيوني أول الأمر، بنقل اللونين الأبيض والأسود فقط، ثم تطور إلى الإرسال الملون بتقنيات مختلفة ومتطورة، وأتاحت هذه التقنيات المتطورة للدول التي بدأت الإرسال التليفزيوني بها باللونين الأبيض والأسود، أن تطور إرساله إلى الأحدث، أو أن تبدأ مباشرة في استخدام التليفزيون الملون؛ ولكي يمكن بث الإرسال التليفزيوني الملون، مع الأبيض والأسود، هناك عدة متطلبات تقنية، يجب أن توضع في الاعتبار؛ وأول هذه المتطلبات، ضرورة توافق إشارات التليفزيون الملون، مع النطاق الترددي لقنوات إرسال التليفزيون الأبيض والأسود، الموجودة بالفعل، وثانيها، ضرورة أن تكون أجهزة الاستقبال التليفزيوني الأبيض والأسود، قادرة على إعطاء صورة مرضية أبيض ـ أسود، عند استقبالها إشارات الإرسال التليفزيوني الملون، وتعرف هذه الخاصية بالتوافقية، والمطلب الثالث، ضرورة أن تكون أجهزة الاستقبال الملون، قادرة على إعطاء صورة جيدة، أبيض وأسود، لدى استقبالها، إشارات الإرسال التليفزيوني الأبيض والأسود، وتعرف هذه الخاصية بالتوافقية العكسية؛ فيما يلي استعراض مبسط لتقنيات التليفزيون الملون، أحد مظاهر الثورة العلمية في مجال الإلكترونيات.

1. المعلومات اللونية

لتحقيق البث الملون، فإن نظام الإرسال التليفزيوني الملون، يجب أن يحمل إضافة إلى الصورة، إشارات إضافية، لإعطاء المعلومات اللازمة عن الألوان، ولذلك فإن الصورة التليفزيونية الملونة، هي في أساسها، صورة بيضاء وسوداء، تمتلئ مساحتها باللون المناسب، ولكي يكون جهاز الاستقبال التليفزيوني، قادراً على إعطاء اللون الصحيح، لكل مساحة من المساحات الملونة في الصورة، فإنه يجب إمداده، بنوعين من المعلومات : اللون الأساسي، وشدة اللون (درجة التشبع).

يتحدد اللون الأساسي، أحمر كان أو أصفر أو أخضر أو خلاف ذلك، حسب موضع اللون في الطيف، بينما تكون درجة التشبع للون، مقياساً لشدته أو ضعفه، فإذا كان اللون الأساسي هو الأحمر، فإن هذا اللون، قد يكون أحمر وردياً أو قرمزياً، أو أية درجة متوسطة بينهما؛ بمعنى آخر، فإن درجة تشبع اللون، هي مقياس لمدى تخفيف اللون باللون الأبيض، فاللون القرمزي، هو لون أحمر مشبع، بينما يُعد اللون الوردي، لونا أحمر غير متشبع، لذلك فإنه من الضروري، أن يغذى الجهاز المستقبل بالمعلومات، عن اللون الأساسي، ودرجة تشبع هذا اللون، لكل مساحة من المساحات الملونة من الصورة.

يمكننا الحصول على طلاء أخضر، بمزج طلاء أزرق مع آخر أصفر، بينما يمكن الحصول على طلاء أرجواني، بمزج طلاء أزرق مع آخر أحمر، و في الحقيقة، فإنه يمكن، باستخدام ثلاثة ألوان رئيسة، الحصول على جميع الألوان المعروفة، وذلك بتغيير نسب كل لون من هذه الألوان الثلاثة، ويستخدم هذا المبدأ في عمليات الطباعة بالألوان، وكذلك في التليفزيون الملون؛ والألوان الرئيسة الثلاثة، المستخدمة في التليفزيون هي، الأحمر والأخضر والأزرق، وسيرمز لها فيما بعد بالحروف ح، خ، ز للاختصار.

ولذلك فإنه من الضروري، تحليل صورة المنظر الملون الأصلي، وقياس نسبة وجود كل من هذه الألوان الرئيسة، في كل مساحة ملونة من الصورة، وتتم عملية تحليل الصورة، وفصل مركباتها الحمراء والخضراء والزرقاء، في كاميرا التصوير التليفزيوني الملون، وذلك باستخدام مرايا ثنائية اللون، وهي مرايا ذات تركيب خاص، لها القدرة على عكس ضوء ذي لون معين، بينما تسمح في الوقت نفسه، بمرور بقية الألوان خلاله، دون اعتراضها، وبذلك يتم الحصول على صورة حمراء، وأخرى خضراء، وثالثة زرقاء للمنظر نفسه.

تركز هذه الصورة، على الأهداف الموجودة بأنابيب ثلاث، متشابهة، بالكاميرا، تحتوى كل منها على شعاع إلكتروني، ويمسح الهدف الموجود في كل أنبوبة، بوساطة الشعاع الإلكتروني الموجود في الأنبوبة نفسها، والمركز على هذا الهدف، بحيث تتم عمليات المسح في تزامن تام بين الأنابيب الثلاث، وبذلك يمكن الحصول على ثلاث إشارات للصورة، من الأنابيب الثلاث، تمثل الإشارة الأولى، المضمون الأحمر للصورة، بينما تمثل كل من الإشارتين الثانية والثالثة، المضمون الأخضر والأزرق، على التوالي، للصورة نفسها.

بتجميع خرج هذه الأنابيب الثلاث، نحصل على إشارة، تمثل المضمون الأبيض، والأسود للصورة، مثل تلك الإشارة، التي نحصل عليها، من كاميرا التصوير التليفزيوني الأبيض والأسود، ذات الأنبوبة الواحدة، وتسمى هذه الإشارات المجمعة، بـ "إشارة النصوع، أو الإضاءة"، وهي الإشارة الرئيسة، في نظام الإرسال التليفزيوني الملون؛ هذه الإشارة، هي ما يتم استقباله، وعرضه بوساطة جهاز الاستقبال التليفزيوني الأبيض والأسود، عندما يكون مؤلفاً لاستقبال إشارات الإرسال التليفزيوني الملون.

الكاميرا ذات الأنابيب الأربع :لكي نحصل على إشارة نصوع جيدة من الكاميرا ذات الأنابيب الثلاث، فإنه من الضروري، أن يمسح العنصر نفسه، من الخط ذاته، من خطوط الصورة الضوئية، بوساطة أشعة المسح الإلكترونية، في الأنابيب الثلاث في اللحظة نفسها، ومن الصعب تنفيذ ذلك، ولكن يمكن تلافى هذه الصعوبة، باستخدام الكاميرا ذات الأنابيب الأربع، التي تستخدم أنابيب اللون الأحمر، واللون الأخضر، واللون الأزرق، الموجودة فيها، لإنتاج المعلومات اللونية فقط. أما الأنبوبة الرابعة، فتغذى بالصورة الملونة الأصلية، وبذلك نحصل في خرج هذه الأنبوبة، على إشارة للصورة، تشبه التي نحصل عليها من كاميرا التصوير الأبيض والأسود، وتستخدم هذه الإشارة، إشارة نصوع، ومن الضروري أن تكون أشعة المسح الإلكتروني، متزامنة في جميع الأنابيب الأربع، ومن الضروري كذلك أن تكون الصورة الضوئية، المسلطة على الأنابيب الأربع، محاذاة بدقة.

إرسال المعلومات اللونية: يجب إرسال الإشارات الناتجة، من الأنابيب اللونية الثلاث، الموجودة بالكاميرا إلى المستقبل؛ لأن أنبوبة الصورة الملونة بالمستقبل، تحتاج إلى إمدادها بالمعلومات اللونية، الحمراء والخضراء والزرقاء، وإرسال معلومات عن ثلاث كميات متغيرة القيمة، مثل المضمونات الحمراء والخضراء والزرقاء للصورة، يتطلب استخدام ثلاث إشارات منفصلة، ومع ذلك فإنه ليس من الضروري أن تكون هذه الإشارات، هي إشارات الصور الحمراء والخضراء والزرقاء نفسها، الناتجة من الأنابيب اللونية الثلاث، ولكن أية ثلاث إشارات تحتوي على المضمونات الحمراء والخضراء والزرقاء تفي بالغرض، إذ أنه من الممكن استخلاص هذه المضمونات منها، ببعض العمليات الجبرية، باستخدام دائرة إلكترونية، تسمي المصفوفة.

تعمل دائرة المصفوفة، بالطريقة نفسها، التي تستخدم لحل المعادلات الآنية، التي تحل آنياً، وإحدى الإشارات التي يتم إرسالها بالفعل، هي تلك الإشارة التي تستخدم إشارة نصوع؛ لأنها تحتوى على معلومات لونية عن الألوان الحمراء والخضراء والزرقاء، ويرمز عادة لهذه الإشارة بالرمز ن، وبذلك يكون مطلوباً إرسال إشارتين أخريين، وقد اختيرت هاتان الإشارتان، لتكونا إشارة ح-ن، وإشارة ز-ن، وتسمى هاتان الإشارتان، بإشارتي التباين اللوني، وتستخدم موجة حاملة فرعية، لإرسال إشارتي التباين اللوني، وقد ابتكرت عدة طرق لتضمين الموجة الحاملة الفرعية، بإشارتين منفصلتين، واستخلاصهما مرة ثانية في المستقبل، وللاحتفاظ بالإرسال الملون، في حدود النطاق الترددي للقناة التليفزيونية المستخدمة للإشارة الصورية، ويختار تردد هذه الموجة بدقة بحيث لا تحدث هي، أو إشارات التضمين، تداخلاً مع إشارة النصوع.

2. تكنولوجيا التليفزيون

من المعلوم، أن الصورة التليفزيونية، تتكون من عدد كبير من الخطوط المتجاورة، وتتيح هذه الطريقة في عرض الصورة التليفزيونية، تنفيذ بعض التأثيرات الخاصة واستغلالها، عند إنتاج البرامج التليفزيونية.

من هذه التأثيرات، الطرق والأساليب التي تستخدم لإحلال صورة تليفزيونية، محل صورة أخرى، إذ يمكن تنفيذ ذلك لحظياً، وتسمى هذه الطريقة بطريقة القطع، أو بإخفاء الصورة الأولى تدريجياً، في الوقت نفسه الذي تبدأ فيه الصورة التالية في الظهور؛ وتسمى هذه الطريقة بطريقة الخبو المضاد؛ كذلك يمكن تركيب صورتين، أي إضافة الصورة الثانية إلى الصورة الأولى، أو اشتراك نصفين من صورتين مختلفتين، في الظهور على الشاشة التليفزيونية، بمعنى أن يظهر النصف الأيسر من إحدى الصور التليفزيونية، مع النصف الأيمن من صورة تليفزيونية أخرى، على الشاشة في الوقت نفسه، وتسمى هذه الطريقة طريقة الشاشة المقسمة، وتستخدم عادة في إظهار الممثلين القائمين بمحادثة تليفونية، في التمثيليات التليفزيونية، وفي العادة، يفصل بين نصفي الصورتين بخط رأسي، ولكن يمكن، أيضاً، أن يكون هذا الخط الفاصل أفقياً أو قطرياً مائلاً، وكذلك يمكن تحريك هذا الخط الفاصل، عبر الشاشة، لإخفاء أحد النصفين، وإظهار الصورة الثانية بكاملها.

أصبحت جميع هذه التسهيلات المذكورة، للمزج البصري، متيسرة، باستخدام بعض الأساليب التقنية، مثل أسلوب تطعيم الصورة، أو أسلوب الفصل بالألوان، فأسلوب تطعيم الصورة يتيح حذف أية مساحة محددة من الصورة التليفزيونية، وإحلال المساحة المناظرة، لها من صورة أخرى، محل هذه المساحة المحذوفة، ويمكن تنفيذ ذلك باستخدام صمام أشعة المهبط، الذي تمسح شاشته، بوساطة شعاع إلكتروني، غير معدل الشدة، وفي صورة متزامنة، مع عمليات المسح، التي تتم في كل من كاميرات التصوير التليفزيوني، التي يتم بها تصوير المنظرين، المراد تنفيذ عملية التزاوج بينهما.

في هذه الحالة تكون شاشة صمام أشعة المهبط، مضيئة بشكل منتظم، بوساطة خطوط المسح، التي يبلغ عددها، 405 أو625 خطاً، وفي الوقت نفسه، توضع خلية كهروضوئية، بالقرب من منتصف الشاشة، وتستجيب هذه الخلية للضوء المنبعث من الشاشة، ويستغل خرج هذه الخلية، بعد تكبيره، في تشغيل مفتاح تحويل، يتم بوساطته إبدال خرج إحدى الكاميرات، بخرج الكاميرا الثانية، فإذا غطى نصف شاشة، صمام أشعة المهبط بوساطة قناع معتم، بحافة مستقيمة رأسية، فإن الخلية الكهروضوئية، تعمل خلال فترات الأنصاف المضيئة من خطوط المسح، بينما لا تعمل خلال الأنصاف المعتمة فيها، وبذلك تحدث عملية إبدال خرج الكاميرات، عند منتصف كل خط من خطوط المسح، فنحصل على صورة تليفزيونية مركبة، يتكون نصفها الأيسر، من خرج إحدى الكاميرات، بينما يكون نصفها الأيمن، هو خرج الكاميرا الثانية.

وبتحريك القناع المعتم، يمكن إخفاء أحد هذه الأنصاف، وإظهار الصورة الأخرى بكاملها؛ كذلك فقد يأخذ القناع المعتم، أشكالاً مختلفة، للحصول على بعض التأثيرات المشوقة؛ فمثل، إذا كان المنظر، الذي يتم تصويره بوساطة الكاميرا الأولى، منظراً داخلياً، يمثل غرفة لها نافذة، وإذا ما جعل القناع المعتم، مناسباً تماماً للمساحة، التي تحتلها النافذة من المنظر، فإنه يمكن تطعيم هذه الصورة، في المساحة التي تحتلها النافذة، بخرج الكاميرا الثانية، الذي قد يكون منظراً ريفياً، مصوراً من صورة فوتوغرافية، أو منظراً لحركة المرور في الطريق، يؤخذ من أجهزة التليسينما، أو من شرائط الفيديو؛ تعرف هذه الطريقة بالتزاوج بين الأجزاء المختلفة لصورتين مختلفتين، بطريقة التطعيم.

يستخدم أسلوب الفصل بالألوان الطريقة الثانية بالتزاوج بين أجزاء صورتين مختلفتين، في النظام التليفزيوني الملون، ولا تحتاج هذه الطريقة لصمام أشعة المهبط، والقناع المعتم، المستخدمين في الطريقة الأولى، ولكن تلون أجزاء الصورة الأولى، المطلوب عدم إظهارها في الصورة المركبة النهائية، باللون الأزرق، ويستغل خرج صمام اللون الأزرق، للتحكم في تشغيل مفتاح التحويل، بحيث يقوم هذا المفتاح باستبدال، أية مساحة ملونة باللون الأزرق في الصورة الثانية؛ تعرف هذه الطريقة، بطريقة "الفصل بالألوان".

هذه الطريقة مفيدة، بصفة خاصة، عند إنتاج البرامج التليفزيونية الإخبارية، التي يكون مطلوب فيها، أن يظهر المذيع في الصورة أمام خلفية، تمثل مجلس الشعب، مثلاً، ويمكن إنتاج مثل هذه الصورة، بتصوير المذيع أمام خلفية بسيطة زرقاء، بوساطة الكاميرا الأولى، بينما تقوم الكاميرا الثانية، بتصوير منظر لمجلس الشعب، من صورة فوتوغرافية، أو شريحة شفافة ملونة، ولكن، يجب التأكد، من عدم ارتداء المذيع أية ملابس زرقاء؛ لأنه إذا كان المذيع يرتدي، مثلاً، رباط عنق، كرافتة، أزرق، فإن المشاهد يرى المساحة المناظرة لرباط العنق، من صورة مجلس الشعب، في مكان رباط العنق.

3. أجهزة تفسير الصور

تُعد الطريقة الواضحة، لإنتاج التفسيرات المكتوبة، وعرضها على الشاشة التليفزيونية، هي كتابة هذه التفسيرات، بوساطة الفنانين المتخصصين، ثم تصويرها بالكاميرا التليفزيونية، أو تصويرها فوتوغرافياً، وتحويلها إلى شرائح شفافة، يمكن بعد ذلك تصويرها تليفزيونياً مباشرة، أو بعد عرضها بجهاز عرض الشافات، وكل من هذين الأسلوبين، يحول التفسيرات المكتوبة، إلى إشارات صورية، فيديو، إذ يمكن بعد ذلك، مزجها مع الإشارات الصورية للمنظر، المطلوب التعليق عليه كتابة، وذلك إذا كان المطلوب، هو إضافة التعليق المكتوب، إلى الصورة الموجودة على الشاشة التليفزيونية.

ولكن هذه الأساليب، تحتاج إلى وقت لتنفيذها، وقد استبدل بهذه الأساليب، أسلوب تقني آخر، وفيه يتم إنتاج التفسيرات، والتعليقات المكتوبة إلكترونياً؛ والأجهزة المستخدمة في إنتاج التفسيرات إلكترونياً، تحتوي على مفاتيح مماثلة لتلك الموجودة بالآلات الكاتبة، ولكن عند الضرب على مفتاح حرف هجائي معين، يقوم الجهاز بإنتاج إشارة صورية، فيديو، لهذا الحرف، وإذا ما غذيت هذه الإشارة إلى جهاز الاستقبال التليفزيوني، يظهر الحرف الهجائي على شاشته، وبمجرد أن يضرب على أحد مفاتيح هذا الجهاز، فإنه يقوم بإنتاج الإشارة الصورية للحرف الهجائي المناظر لهذا المفتاح، بصورة مستمرة، بحيث يظل الحرف الهجائي، ظاهراً على الشاشة التليفزيونية، دون أن يختفي، ويمكن بوساطة هذا الجهاز إظهار حتى 25 حرفاً هجائياً، في صورة صف بعرض الشاشة، وهذا هو المطلوب في أغلب الأحيان، للتعليق على الصورة بالكتابة في أسفلها، ولكن عند الضرورة، يمكن لهذا الجهاز، إنتاج حتى 14 صفاً من الحروف الهجائية، لتملأ الشاشة التليفزيونية.

4. إشارات الاختبار

من المعروف، أن خطوط المسح التليفزيوني، التي يبلغ عددها 625 خطاً، لا تظهر جميعها على شاشة جهاز الاستقبال التليفزيوني، وذلك لأن بعضاً من هذه الخطوط، يفقد بسبب قطع الشعاع الإلكتروني، في صمام الصورة، في لحظات وصول إشارات تزامن الحقل، التزامن الرأسي، ومن الممكن استغلال هذه الخطوط غير المستخدمة، لإرسال بعض المعلومات، التي لا يمكن لأجهزة الاستقبال التليفزيونية الإحساس بها.

وقد تأخذ المعلومات التي يمكن إرسالها بهذه الطريقة، في أحد أشكالها، صورة سلسلة من إشارات الاختبار الهندسي؛ عند استقبال الإشارة التليفزيونية، في محطة الإرسال التليفزيوني، فإن هذه الإشارات، تعطي بياناً عن أداء الدوائر الكهربائية، والمعدات التي تمر بها الإشارات، منذ لحظة نشأتها في الاستوديو، وتعطي إشارات الاختبار، معلومات مفيدة للمهندسين، الموجودين بمحطة الإرسال، عن العيوب الموجودة، بحيث يمكنهم اتخاذ الإجراءات اللازمة لعلاجها.

من التطورات الحديثة، استخدام معدات مزودة بأجهزة حاسبة إلكترونية، في محطات الإرسال التليفزيوني؛ وتستطيع هذه المعدات بطريقة مشابهة لما سبق، اختبار أداء سلسلة المعدات التي تمر بها الإشارة التليفزيونية وتحسينها، بل تستطيع أيضا، تنفيذ بعض الإجراءات، مثل تحويل الإشارة إلى مسار تبادلي.

5. قنوات المعلومات

هذه خدمة حديثة، أصبحت متاحة لأصحاب أجهزة الاستقبال التليفزيوني، وهي تستخدم الإشارات، التي ترسل خلال فترات إشارات تزامن الحقل، التزامن الرأسي، و بذلك لا يمكن لأجهزة الاستقبال التليفزيوني المألوفة، الإحساس بها، ولكن يمكن انتقاؤها باستخدام جهاز خاص، يوصل بجهاز الاستقبال، أو يركب بداخله، وبذلك يمكن عرض هذه الإشارات على شاشة الجهاز، بدلاً من الصورة العادية، أو مضافة إليها، وتظهر هذه الإشارات لدى عرضها على الشاشة، في صورة صفحات من المعلومات، تصل إلى مائة صفحة، ويمكن اختيار الصفحة المطلوبة، بوساطة أزرار خاصة، وتتكون كل صفحة، من عدد من السطور، قد يصل إلى 24 سطراً، بينما يحتوى كل سطر،على عدد من الحروف الهجائية، يبلغ حتى 40 حرفاً؛ ويمكن أن تخصص الصفحات للموضوعات الإخبارية، أو التنبؤات الجوية، أو نتائج المباريات الرياضية، أو أسعار الأوراق المالية، أو أية موضوعات أخرى؛ من مزايا هذا النظام، أنه يمكن تغيير هذه المعلومات باستمرار أثناء عرضها، لتصبح مطابقة لآخر موقف.

6. الدائرة التليفزيونية المغلقة

لا يقتصر استخدام الأساليب التليفزيونية، على مجال الإذاعة التليفزيونية فحسب، بل يتعداها، ليغطى كثيراً من المجالات الأخرى، فهناك مناسبات كثيرة، يكون مطلوباً فيها مشاهدة ما يحدث في مكان بعيد؛ يمكن تحقيق ذلك، باستخدام كاميرا تليفزيونية، ملحقة بجهاز استقبال تليفزيوني أو أكثر، وفي العادة، لا تكون هناك ضرورة لوجود وصلة لاسلكية، بين الكاميرا وأجهزة الاستقبال، كما هو الحال في الإذاعة المرئية، ولكن يكون الاتصال المباشر كافياً، وهذا ما يسمى بالدائرة التليفزيونية المغلقة؛ في المجالات الصناعية مثل، أن يمكن استخدام التليفزيون، في مراقبة العمليات الصناعية عن بعد، في الحالات التي يكون فيها، من الخطر ومن غير المناسب، وجود الأشخاص قريباً منها، وفي مجال التحكم في حركة المرور، يمكن استخدام التليفزيون، بوضع كاميرات تليفزيونية، في النقط الإستراتيجية، وملاحظة انسياب المرور من غرفة تحكم مركزية، وكذلك، يمكن باستخدام التليفزيون، توفير الأمن، فمثلاً، تستخدم دائرة تليفزيونية مغلقة، في المحلات التجارية الكبيرة، و يستطيع فرد واحد، بوساطتها، مراقبة دور كامل من أدوار المحل التجاري.

يستخدم التليفزيون كذلك في السجون، لمساعدة الحراس في مراقبة الأسوار الخارجية، التي تحيط بالسجن، ويستخدم بكثرة، لعرض المعلومات، وبصفة خاصة، حين يكون مطلوباً، باستمرار، تجديد هذه المعلومات، فمثلاً، يستخدم التليفزيون في المطارات، ومحطات السكك الحديدية، لعرض جداًول مواعيد قيام، ووصول القطارات، ويستخدم التليفزيون، أيضاً، في المستشفيات، للأغراض التعليمية، فمثلاً، يمكن تثبيت كاميرا تليفزيونية أعلي منضدة العمليات الجراحية، ليتمكن عدد من الطلبة، من مراقبة تسلسل خطوات العملية، باستخدام أجهزة الاستقبال.




[1] الميكرون وحدة قياس للأطوال تساوي 10-6 م.

[2] هي عملية تقسيم الصورة إلى عدد معين من الأقسام المتوازية، و التعامل مع هذه الأقسام كل على حدة، وعلى التوالي، وبسرعة عالية تجعل المتلقي يشعر أنه يتعامل مع الصورة كاملة.

[3] كاشف الأشعة تحت الحمراء لا يعمل إلا في درجات حرارة منخفضة جداً، ويحتاج إلي تبريد مستمر.

[4] تأثير دوبلر هو اختلاف تردد الموجة الكهرومغناطيسية المرتدة من سطح جسم متحرك عن تردد الموجة الساقطة عليه؛ الاختلاف يعبر عن سرعة الجسم العاكس.

[5] هو زمن الدورة الكاملة حول الكرة الأرضية.

[6] معروف عالمياً بالأحرف G P S.