إرشادات مقترحات البحث معلومات خط الزمن الفهارس الخرائط الصور الوثائق الأقسام

مقاتل من الصحراء
Home Page / الأقســام / موضوعات علمية / الرادار




أضخم رادار أمريكي
نظام "سمبلين"
المركبة سكاوت
الرادار APG-66
الرادار APG-66 (V)-2A
الرادار ARTHUR
الرادار COBRA
الرادار Cobra Dane
الرادار Hen House
الرادار RDM
الرادار Sea Giraffe AMB
الرادار SMART-L
الرادار TPQ-37
الرادار TPS-70
الرادار YJ-14
جهاز الرادار AN/FPS-6
رادار متعدد المهام
رادار محمول جواً
رادار مراقبة الصواريخ البالسيتية
رادار البحث والمراقبة
رادار دوبلر

هوائي قطع مكافئ
موقع نقطة التقابل
مبين الوضع الأفقي
مبين طرز A
نبضات الإشعال
مجموعة نماذج إشعاعية
مساحة التمييز
إشارة الهدف والضوضاء
مسقط مساحة خالية التمييز
النموذج المروحي والنماذج المتعددة
النموذج الإشعاعي
النموذج الإشعاعي القلمي
الهوائي المصطنع
الهوائي المصفوف
الوضع الزاوي للهدف
الإحداثيات الثلاثية للهدف
المقطع الراداري
الانتشار غير الطبيعي
الانعكاس الأرضي
انتشار الموجات السماوية
التغطية الرأسية
التفتيش القلمي
الرادار الخارق للأرض
الرسم الوظائفي العام للرادار
العناصر الرئيسية للمعدل
العلاقة الزمنية لتردد الإيقاع
توهين الموجات الملليمترية
تأثير الانعكاس
تمييز إشارة التداخل
تركيب الماجنترون
تركيب صمام الموجة المسافرة
تغير تردد المرسل
تقدير المسافة
جهاز استقبال
رادار موجة مستمرة
رادار اكتشاف الأهداف المتحركة
رادار تخصيص الأهداف
رادار دوبلر نبضي
رادار دوبلر محمول جوا
رسم لرادار موجة مستمر
صور بسيطة لجهاز الرادار
زاوية في المستوى الأفقي
عمل الصمام
ظاهرة المسارات المتعددة
ظاهرة الفصوص الإشعاعية




القسم الأول

المبحث الأول

نظريات عمل الرادار

أولاً: نظرية العمل والمعادلة الرادارية

وظيفة جهاز الرادار، تحديد مواقع الأهداف، عن طريق تحديد المدى، والوضع الزاوي بالنسبة لموقع جهاز الرادار، واتجاه مرجعي محدد. وتعتمد نظرية العمل على طبيعة انتشار الموجات الكهرومغناطيسية، وانعكاسها بعد اصطدامها بالأجسام الموصلة أو العازلة، وأن الموجة المنعكسة، تنتشر في جميع الاتجاهات، التي من بينها اتجاه موقع جهاز الرادار نفسه. يقوم جهاز الرادار بإشعاع موجة كهرومغناطيسية ذات مواصفات خاصة، في الفراغ المحيط به، وينتظر فترة حتى تصطدم تلك الموجة بالهدف، ويرتد جزء منها مرة أخرى نحو جهاز الرادار، الذي يقوم بتحليل الإشارة المرتدة، ويستنتج منها المدلولات الخاصة بالهدف. وتعدّ الفترة الزمنية المنقضية بين انطلاق الموجة الكهرومغناطيسية، واستقبالها مرة أخرى بعد ارتدادها من الهدف، مقياساً للمسافة التي تفصل الهدف عن جهاز الرادار، إذ تقطعها الموجة ذهاباً وإياباً، متحركة بسرعة انتشار الضوء (3 × 10 8 متر/ثانية)؛ (اُنظر شكل تقدير المسافة)، التي يستخدمها جهاز الرادار لتقدير مسافة الهدف، وتقوم أساساً على حساب الزمن T الذي تقطعه الموجة الرادارية ذهاباً وإياباً، وبمعرفة سرعة انتشار الضوء يكون المدى[1] d هو:

وتعتمد فكرة تحديد الرادار للوضع الزاوي للهدف، على استخدام هوائي خاص، يركز طاقة الموجة الكهرومغناطيسية في حيز ضيق من الفراغ، مركز حول محور الهوائي، فيكون الاتجاه الزاوي للهدف، هو نفسه اتجاه محور الهوائي، وعادة ما يقاس الاتجاه الزاوي للهدف، بقياس الاتجاه الأفقي B منسوباً إلى اتجاه مرجعي معين، عادة ما يكون اتجاه الشمال المغناطيسي، وقياس زاوية الارتفاع a ،(اُنظر شكل الوضع الزاوي للهدف).

ثانياً: المعادلة الرادارية Radar equation

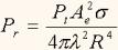
إذا كانت الطاقة المشعة من وحدة الإرسال، في جهاز الرادار الموضح في (اًنظر شكل صورة بسيطة لجهاز الرادار)، هي Pt وكانت وسيلة الإشعاع في الفراغ المحيط، هي هوائي يشع الطاقة بانتظام في جميع الاتجاهات "هوائي لا اتجاهي"Omni directional antenna، فتكون كثافة الطاقة "الطاقة لكل وحدة من وحدات السطح"، عند مسافة تبعد R عن موقع جهاز الإرسال، هي الطاقة المرسلة موزعة على مساحة سطح الكرة التي نصف قطرها R، والتي يقع المرسل الراداري في مركزها، أي أن كثافة الطاقة المشعة من هوائي لا اتجاهي هي:

يستخدم جهاز الرادار عادة هوائيّاً اتجاهيّاً، بدلاً من الهوائي غير اتجاهي، لتركيز معظم الطاقة Pt في اتجاه معين، ويعبر عن هذه الخاصية بمصطلح كسب هوائي الإرسال Gt[2]، وتكون كثافة الطاقة المشعة من هوائي اتجاهي هي:

تسقط الطاقة المشعة من الهوائي على الهدف، فيقوم بإعادة إشعاع جزء منها مرة أخرى في اتجاه وحدة استقبال جهاز الرادار، أي أن الطاقة المرتدة في اتجاه وحدة استقبال جهاز الرادار هي:

حيث [3] معامل يطلق عليه "المقطع الراداري للهدف" Radar cross section، ويقاس بوحدات المساحة.

باعتبار الهدف مصدراً للإشعاع، تكون كثافة الطاقة المرتدة عند هوائي الاستقبال هي:

ويتأثر هوائي وحدة استقبال الرادار بالطاقة المرتدة من الهدف طبقاً لمساحته الفعالة Ar[4]؛ فتكون الطاقة المستقبلة في وحدة استقبال جهاز الرادار هي:

وهذه الصورة، هي الصيغة الأساسية للمعادلة الرادارية، وإذا استخدم جهاز الرادار الهوائي نفسه للإرسال والاستقبال، وهو الوضع المعتاد لأجهزة الرادار، أي أن:

Gt = Gr = G

و At = Ar =Ae

تصبح صورة معادلة الرادار:

أو

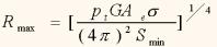
أقصى مدى Rmax لجهاز الرادار، هو المسافة التي إذا بعد الهدف عنها، لم تتمكن وحدة الاستقبال لجهاز الرادار، الإحساس بالإشارة المرتدة، وهذا يحدث عند ما تكون قيمة الإشارة المرتدة Pr تساوي أقل إشارة يمكن أن يحس بها جهاز الاستقبال Smin، وعلى هذا الأساس يكون أقصى مدى لجهاز الرادار هو:

عادة ما يكون أقصى مدى لجهاز الرادار المقاس عمليّاً، أقل من المدى الناتج من استخدام المعادلات النظرية السابقة، حيث إن الصورة البسيطة للمعادلة الرادارية هي صورة تقريبية، أغفلت بعض العوامل الأخرى التي تؤثر في انتشار الموجات، وستناقش فيما بعد.

ثالثاً: الرسم الوظائفي العام للرادار

1. الرادار النبضي

(اُنظر شكل الرسم الوظائفي العام للرادار) فكرة عمل جهاز رادار نبضي، يستخدم صمام ماجنترون مذبذباً لوحدة الإرسال؛ يبدأ عمل جهاز الرادار من وحدة التزامن، التي يطلق عليها، أيضاً، اسم "وحدة الإشعال Trigger generator، وهي وحدة لتوليد مجموعة من النبضات الحادة، لها تردد قطار النبضات نفسه المطلوب إشعاعها في اتجاه الهدف. تولد وحدة التزامن نبضات، تشغل وحدة التعديل، التي بدورها تغذي صمام الماجنترون، خلال فترات زمنية تساوي عرض نبضة الرادار، فيولد ذبذبات ذات تردد عالٍ، وطاقة عالية، خلال فترة تغذيته. تمر الذبذبات، ذات التردد العالي والطاقة العالية، إلى الهوائي من خلال "مفتاح مزدوج الاتجاه" Duplexer يسمح بمرور الطاقة العالية، من المرسل إلى الهوائي أثناء الإرسال، مع عزل دوائر جهاز الاستقبال تماماً، ويسمح بمرور الطاقة الخافتة، من الهوائي إلى جهاز الاستقبال الحساس أثناء فترة الاستقبال؛ (اُنظر شكل نبضات الإشعال) نبضات الإشعال، وتأثيرها في المعدل والماجنترون.

لكي يتمكن جهاز الرادار من اكتشاف موقع طائرة مقاتلة على مسافة 150 ميلاً، يلزمه أن يستخدم قدرة إرسال عظمى في حدود 10 ميجاوات، ونبضات اتساعها في حدود الميكروثانية، وتردد تكرارها في حدود المئات من النبضات في الثانية؛ أثناء الإرسال تنتقل الذبذبات ذات التردد والقدرة العالية، من خلال خطوط نقل الطاقة Transmission lines، والمفتاح مزدوج الاتجاه إلى الهوائي، الذي يحولها إلى موجات كهرومغنطيسية، ويشعها في الفضاء المحيط. يستخدم جهاز الرادار الهوائي نفسه للإرسال والاستقبال. أما المفتاح مزدوج الاتجاه فيفصل دوائر الاستقبال الحساسة عند مرور الطاقة العالية، من وحدات الإرسال إلى الهوائي؛ لأنه لو تسرب جزء منها لدوائر الاستقبال المصممة للتعامل مع الطاقة الصغيرة جدّاً، فإنها تتلف مباشرة، وبعد مرور إشارة المرسل إلى الهوائي، يقوم المفتاح بفصل دائرة المرسل، وتوصيل دائرة الاستقبال، وبذلك يضمن عدم فقد أي جزء من الإشارة المرتدة في دائرة الإرسال، واتجاهها بالكامل إلى الاستقبال.

ينعكس جزء من الموجة المشعة من سطح الهدف في اتجاه الهوائي، ومنه إلى وحدة الاستقبال، وهي عادة من النوع المغير للتردد، الذي يطلق عليه اسم "جهاز استقبال سوبرهترودايني [5]Superheterodyne، وهو قابل للتوليف[6]؛ ثم تصل الإشارة إلى وحدة تكبير الترددات العالية Radio frequency Amplifier، وهي الوحدة المسئولة عن تعظيم قيمة الإشارات المرتدة الضعيفة، إلى المستوى المناسب لعمل الوحدات الفرعية التالية لها؛ هذا المكبر يجب أن يكون من النوع قليل الضوضاء، وهو أحد الوحدات التي يتم توليفها لتوائم التردد المستقبل؛ يطلق على المكبر، أيضاً، مصطلح "الطرف الأمامي" Front end. 

المازج أو الخالط Mixer، دائرة تعمل بارتباط وثيق مع المذبذب المحلي، ويطلق عليهما معاً دائرة مغير الترددFrequency changer ؛ المازج يستقبل نوعين من الإشارات، أولهما الإشارة المستقبلة المرتدة من الهدف بعد تكبيرها، وترددها fr، وثانيهما الذبذبات المولدة من المذبذب المحلي، وترددها f10 ؛ يقوم المازج بدمج الإشارتين معاً لتنتج إشارة جديدة يطلق عليها إشارة التردد البيني[7] I F، وهي لها مواصفات الإشارات المستقبلة نفسها،

حيث              I F = frflo

يتم هذا التحويل للحصول علي معاملات تكبير أعلى، لرفع قيمة الإشارات الضعيفة إلى المستوى المناسب لعمل دوائر الاستقبال التالية لها.

تصل الإشارة المستقبلة، المحوّلة إلى التردد البيني، إلى مكبر الترددات البينية I F Amplifier؛ كمثال لمكبرات التردد البيني المستخدمة في أجهزة الرادار، مكبر تردده المركزي 30 أو 60 ميجاهرتز، وحيز المرور الترددي 1 أو 2 ميجاهرتز؛ بعد تكبير الإشارات المستقبلة إلى المستوى المناسب لعمل وحدات المستقبل التالية، تصل الإشارة إلى الكاشف النبضي، الذي يستخرج نبضات التعديل من الموجات ذات التردد البيني المستقبلة، هذه النبضات هي التي تحمل معلومة مسافة الهدف، كما سبق توضيحه؛ ويتم تكبير هذه النبضات في مكبر الإشارات المرئية Video Amplifier، حتى المستوى المناسب، لإظهارها على شاشة مبين الرادار.

أشهر أنواع صمامات أشعة المهبط Cathode Ray Tube CRT، المستخدمة كمبينات لأجهزة الرادار، نوعان: أولهما يطلق عليه مبين طرز A - Scope، وثانيهما يطلق عليه مبين الوضع الأفقيPlan Position Indicator PPI .

أ. المبين طراز A يظهر على شاشته رسم بياني، موقع على محورين للإحداثيات؛ المحور الأفقي يمثل زمن وصول الإشارة المرتدة، ويحسب الزمن انطلاقاً من نقطة الأصل للمحاور، التي تمثل لحظة إرسال موجة الرادار، ويمثل المحور الرأسي قيمة الإشارة المستقبلة بعد تكبيرها، (اُنظر شكل مبين طرز A).

ب. مبين الوضع الأفقي، PPI، يظهر على شاشته رسم بياني من النوع القطبي؛ مركز الشاشة يمثل موقع الرادار، والمسافة القطرية من المركز تمثل بعد الهدف، والزاوية التي يصنعها الخط الواصل من مركز الشاشة إلى العلامة، التي توضح الإشارة المرتدة من الهدف،"كسرة الهدف"، مع اتجاه مرجعي، عادة ما يكون اتجاه الشمال، هو الزاوية الأفقية للهدف؛ قيمة الإشارة المرتدة تؤثر في الإلكترونات التي ترسم شاشة المبين، بحيث تظهر بعض النقط أكثر وميضاً، وهو ما يميز علامات أو كسرات الأهداف، عن باقي نقاط المبين، (اُنظر شكل مبين الوضع الأفقي).

نبضات الإشعال أو نبضات التزامن، الناتجة من وحدة التزامن، والتي تتحكم في بدء إرسال نبضات الرادار، تتحكم كذلك، في بداية رسم الشعاع على شاشات المبين، بحيث تكون نقطة الأصل، تقاطع المحورين في المبين طرز A، أو مركز الشاشة القطبية في مبين الوضع الأفقي؛ هذا الوضع، يساعد في تحديد مدى الهدف مباشرة، من ملاحظة تدريج خاص على شاشة المبين.

هوائيات أجهزة الرادار لها أشكال عديدة، ومن أشهرها الهوائي، ذو العاكس على شكل قطع مكافئ ناقص؛ يتم تغذية الهوائي من مشع، مركّب في بؤرة العاكس، الذي يعكس الأشعة الساقطة عليه في اتجاه الهدف، في صورة نموذج إشعاعي ضيق، ويتم تحريك هذا الشعاع، لتفتيش منطقة مسئولية الرادار، بتحريك عاكس الهوائي بطريقة ميكانيكية.

2. رادار الموجة المستمرة CW Radars

تأثير "دوبلر" Doppler effect

يكتشف الرادار وجود الأهداف، ويحدد مواقعها في الفضاء، بإرسال طاقة كهرومغناطيسية، ومراقبة صدى، أو انعكاس هذه الطاقة؛ الرادار النبضي يرسل دفعات من الطاقة الكهرومغناطيسية، في أزمنة قليلة جدّاً، على هيئة "نبضات"، ثم ينتظر انعكاسها من على أسطح الأهداف، ويحدد الصدى وجود الهدف، وتحدد لحظة استقبال الصدى مدى الهدف؛ يتم الفصل بين عملية إرسال الطاقة الكبيرة، واستقبال الطاقة الواهية المرتدة من الهدف، بالتنسيق الزمني بين فترات الإرسال وفترات الاستقبال.

إذا أمكن فصل الإشارة المستقبلة الضعيفة عن الإشارة المرسلة القوية، فلا داعي لاستخدام الأسلوب النبضي، ويمكن استخدام الإرسال المستمر؛ أي أن مرسل الرادار يرسل موجات كهرومغنطيسية مستمرة Continuous Wave. وتعتمد عملية الفصل على التغير الذي يطرأ على تردد موجة الرادار، نتيجة وجود سرعة نسبية بين الهدف وجهاز الرادار، وهو ما يطلق عليه تأثير دوبلر.

من المعلوم في مجال البصريات، والصوتيات، أنه إذا كان أي من مصدر الذبذبات أو مركز مراقبة الذبذبات، في حالة حركة، يحدث تغير في تردد الذبذبات الأصلي، والشيء نفسه يحدث بالنسبة لانتشار موجات الرادار، الطبيعة المشتركة للموجات؛ هذه الظاهرة هي الفكرة الأساسية لتصميم رادارات الموجة المستمرة.

رابعاً: الترددات الرادارية

قسم مجتمع الاتصالات، والأنشطة اللاسلكية الطيف الترددي إلى حيزات مختلفة، كل حيز له خواص انتشار متقاربة، (اُنظر جدول تقسيم ترددات الاتصالات) يوضح أحد هذه التقسيمات؛ بينما اتفق العاملون في المجالات المتعلقة بالرادار (تصميم – تصنيع ـ  صيانة ـ أبحاث ـ تدريس ـ تأليف و نشر ـ إنتاج قطع غيار)، على تقسيم الحيز الترددي المناسب لعمل الرادار إلى حيزات فرعية، مع إطلاق أحرف باللغة الإنجليزية على هذه الحيزات، لتوحيد المفهوم داخل هذا المجتمع؛ (اُنظر جدول تقسيم حيز ترددات الرادار) يوضح هذا التقسيم.

خامساً: العوامل المؤثرة على مدى كشف الرادار

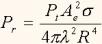
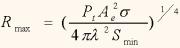
الصورة البسيطة للمعادلة الرادارية

الصورة البسيطة للمعادلة الرادارية التي سبق استنتاجها، والتي أحد صورها:

حيث Pt هي القدرة المرسلة، مقاسة بالوات

G      معامل كسب الهوائي

Ae     المساحة الفعالة للهوائي، مقاسة بالمتر المربع

    المقطع الراداري للهدف

Smin  أقل قدرة مرتدة من الهدف يمكن لجهاز الاستقبال اكتشافها.

العوامل الداخلة في صياغة المعادلة الرادارية، كلها خاضعة لسيطرة مصمم جهاز الرادار، فيما عدا المقطع الراداري للهدف ؛ معادلة المدى الراداري تقرر أنه إذا كان مطلوباً تحقيق مدى كبير، يجب زيادة القدرة المرسلة، وتركيزها في نموذج إشعاعي ضيق، هذا الشرط يعني زيادة كسب الهوائي، واستخدام هوائي استقبال ذي مساحة فعالة كبيرة، هذا الشرط أيضاً يعني زيادة كسب الهوائي، واستخدام وحدة استقبال حساسة للإشارات الضعيفة.

المعادلة البسيطة لمدى الرادار لا توفر تنبؤاً دقيقاً لأداء الرادار الفعلي، فالأرقام الناتجة من الحسابات التي تعتمد على تلك المعادلة، قد تصل في بعض الأحوال، إلى ضعف المدى الفعلي للرادار؛ يرجع ذلك إلى إهمال المعادلة لتأثير بعض العوامل، التي تؤدي إلى فقد في الطاقة أثناء انتشارها، أو أثناء معالجتها داخل وحدات جهاز الرادار، وهو الفارق الذي يحدث لمعظم المعدات الإلكترونية عندما تعمل في الميدان، مقارنة بأدائها عندما تعمل تحت الظروف المعملية؛ أيضاً، هناك بعض العوامل الداخلة في المعادلة، ذات طبيعة إحصائية Statistical nature، بمعنى أنها لا تخضع لصياغة قانون طبيعي، يمكنه التنبؤ الدائم بقيمتها، بل تؤثر فيها العديد من العوامل، التي تتغير في معظم الأحوال بصورة عشوائية، وأهم هذه العوامل هو المقطع الراداري للهدف، وأقل إشارة يمكن لوحدة الاستقبال التعامل معها؛ لكل هذه الأسباب مجتمعة، فإن مواصفات أجهزة الرادار، تحدد احتمال اكتشاف الرادار لهدف ذي مقطع راداري معين عند مدى معين؛ وفيما يلي أهم العوامل التي تؤثر في تحديد مدى الكشف لجهاز الرادار.

1. أقل إشارة يمكن اكتشافها Minimum Detectable Signal

أ. إمكانية وحدة استقبال جهاز الرادار في اكتشاف الصدى المرتد من الهدف، تحدها مستويات الضوضاء Noise Level، التي توجد في حيز الطيف الترددي للموجة الرادارية نفسه؛ يطلق على أقل إشارة مرتدة يمكن استقبالها "أدنى إشارة مكتشفة" Minimum Detectable Signal، ويعد وضع توصيف لهذه الإشارة، وللحيثية التي يتم بناءً عليها التمييز بين إشارة الهدف، وإشارات الضوضاء أمراً صعباً، خاصة إذا كانت حيثية الحكم هي مقدرة العامل البشري على التمييز، نظراً لطبيعتها الإحصائية.

ب. (اُنظر شكل إشارة الهدف والضوضاء)، يوضح طبيعة هذه المشكلة، حيث يبين الرسم البياني شكل الموجة المرتدة لجهاز الاستقبال، والضوضاء المصاحبة لها؛ فإذا اعتبرنا مستوى الإشارة "أ" هو الحد الفاصل بين إشارات الأهداف، وإشارة الضوضاء، فسيتم الحكم علي الانعكاسات أرقام 1، 2، 3، 4، 5، 6 التي تزيد قيمتها عن مستوى الحد الفاصل، على أنها أهداف حقيقية "الأهداف الحقيقية هي أرقام 3،5،6 الوضع السابق يعطي إنذاراً كاذباً بنسبة 50%.

ج. للتخلص من نسبة الإنذار الكاذب العالية، يمكن رفع مستوى الحد الفاصل إلى المستوى "ب"، وفي هذه الحالة سيكون الحكم أن الأهداف هي فقط الأرقام 3، 6، وبذلك لن يتم معاملة الإشارة الرقم "5" كهدف، وما يحتمله ذلك من خطورة بالغة.

د. مما سبق، يتضح أهمية تحديد مستوى الحد الفاصل في تحديد قيمة أقل إشارة مكتشفة، ومعظم الرادارات الحديثة، لها دوائر إلكترونية رقمية، تعمل على تقييم مستوى الحد الفاصل، طبقاً لمستوى النشاط الجوي، ومستويات الضوضاء المصاحبة للإشارات المنعكسة.

هـ. الضوضاء في وحدة الاستقبال

مما سبق يتضح أن الضوضاء هي العامل الأساسي، الذي يحد من حساسية جهاز الاستقبال؛ الضوضاء هي طاقة كهرومغناطيسية غير مفيدة، تتداخل مع عملية استقبال الإشارات المفيدة، هذه الضوضاء قد تتولد داخل جهاز الاستقبال نفسه، أو تدخل إلى جهاز الاستقبال، من خلال الهوائي مع الإشارة المفيدة.

إذا افترض أن الرادار يعمل في وسط مثالي، خالٍ من أي ضوضاء، فلا يصاحب استقبال الإشارة المفيدة أي ضوضاء خارجية، وإذا كان تصميم جهاز الاستقبال مثاليّاً جدّاً، حتى أنه لا يولِّد أي ضوضاء داخلية، فمازال هناك مكون من مكونات الضوضاء لا يمكن تجنبه، وهو المكون الناتج من الحركة العشوائية الحرارية للإلكترونات، في مراحل دخل جهاز الاستقبال، ويطلق عليها "الضوضاء الحرارية" Thermal noise وهي تتناسب طرديّاً مع درجة الحرارة، وتساوي:

NT = K T Bn

حيث K ثابت بولتزمان Boltzmann's constant ويساوي 1.38 × 10-23  جول / درجة، و T درجة الحرارة المطلقة مقاسة بدرجات الكلفن، وBn حيز مرور جهاز الاستقبال مقاساً بالذبذبة في الثانية الواحدة؛ الظروف المثالية هي ظروف افتراضية تختلف تماماً عن البيئة الواقعية التي يعمل من خلالها جهاز الرادار؛ لهذا السبب يتم تعريف معامل يطلق عليه "رقم الضوضاء" Noise figure لكل جهاز استقبال، و رمزه Fn، وهو عبارة عن النسبة بين طاقة الضوضاء الفعلية المؤثرة في جهاز الاستقبال الطبيعي، إلى طاقة الضوضاء الحرارية، أي أن:

حيث Ga هو كسب هوائي الاستقبال، و To تساوي 290 درجة طبقاً لتعريف "منظمة مهندسي الراديو".

2. تكامل النبضات المرتدة من الهدف

أ. تؤثر عوامل عديدة، في قيمة الإشارات المرتدة من الهدف، ويوجد احتمال كبير أن ترتد بعض النبضات من الهدف بطاقة تقل عن مستوى الحد الفاصل بين الضوضاء والإشارة المفيدة، وهذا يؤدي إلى عدم الاستفادة من تلك النبضات؛ التقنية التي تعتمد على الاستفادة من تجميع طاقة عدد معين من النبضات المرتدة من الهدف نفسه، لتوفير طاقة مؤثرة، ترفع قيمة الإشارة المرتدة من الهدف عن قيمة الضوضاء[8]؛ عملية جمع طاقة عدد من النبضات يطلق عليها عملية "تكامل النبضات الرادارية".

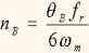
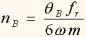
ب. عدد النبضات التي يتم تكاملها nB هو العدد المرتد من الهدف أثناء أضاءته بشعاع الرادار، خلال دورة بحث واحدة، وهو يساوي:

حيث  هو زاوية اتساع النموذج الإشعاعي مقاساً بالدرجات، وfr تردد تكرار النبضات، و معدل بحث الهوائي مقاساً بالدورات كل دقيقة؛ فإذا كان معدل التكرار النبضي 300 نبضة في الثانية، واتساع النموذج الإشعاعي 1.5 درجة، ومعدل البحث 5 دورات كل دقيقة، فإن 15 نبضةً ترتد من الهدف أثناء دورة البحث الواحدة.

ج. تستخدم أجهزة الرادار أكثر من تقنية لمكاملة النبضات، أبسطها استخدام شاشة المبين التي يتناسب توهج النقط المضيئة على سطحها، مع قيم وتكرار الإشارات الساقطة عليها، أي أنه كلما زاد عدد النبضات المرسومة عند النقطة نفسها على الشاشة زاد التوهج؛ ومن بين التقنيات المستخدمة، أيضاً، أسلوب التأخير الزمني للإشارات المتلاحقة Time delay لتدخل إلى دوائر التكبير كلها في اللحظة نفسها.

د. تؤثر عملية تكامل النبضات في رفع كفاءة جهاز الاستقبال الراداري، وزيادة المدى الفعلي لكشف الأهداف، فنجد أن الطرف الأيمن لمعادلة المدى الراداري البسيطة، يضاف إليها معامل يطلق عليه، "معامل التحسين التكاملي" Integration improvement factor ويرمز له بالرمز Ei [9] لتصبح المعادلة كالآتي:

3. المقطع الراداري للهدف Radar Cross Section of Targets

أ. المقطع الراداري للهدف هو تلك المساحة، التي عندما تسقط عليها كمية محددة من الطاقة الكهرومغناطيسية، وتعكسها في جميع الاتجاهات بالتساوي، فإنها تولد صدى راداريّاً عند جهاز الرادار، يساوي الصدى المنعكس من الهدف الحقيقي؛ يرمز للمقطع الراداري للهدف بالحرف s. 

ب. المقطع الراداري هو أحد الخواص التي تميز هدفاً راداريّاً عن آخر، ولا توجد أي علاقات رياضية لوصف العلاقة بين شكل الهدف الطبيعي، طائرة، سفينة، سطح الأرض …، ومقطعه الراداري، ولكن في معظم الأحوال، كلما زادت مساحة سطح الهدف الراداري الطبيعية، فمن المرجح زيادة مقطعه الراداري، ويتضح من الصيغة البسيطة للمعادلة الرادارية، أنه كلما زادت مساحة المقطع الراداري للهدف، كان مدى الكشف أكبر، وكلما صغر المقطع قلّ المدى، فإذا انعدمت مساحة المقطع الراداري، (s = صفر)، لا يظهر الهدف على شاشة الرادار، وهذه النتيجة، هي ما يسعى للوصول إليها منتجو طائرات القتال "تقنية الطائرات الخفية Stealth Technology".

ج. الجزء من الطاقة الكهرومغناطيسية الذي يرتد في اتجاه هوائي استقبال جهاز الرادار، هو فقط الذي يُستغل لاكتشاف الهدف، واستنتاج مدلولاته. أما الباقي فلا دور له في العملية الرادارية. تقييم الجزء المرتد في اتجاه هوائي الاستقبال يتوقف على عوامل كثيرة أهمها: 

(1) النسبة بين أبعاد سطح الهدف وطول الموجة المستخدم بواسطة الرادار.

(2) درجة تعقيد شكل الهدف، سطح مركب أو سطح انسيابي بسيط لا يدخل في تركيبة زوايا ركنية.

(3) شكل سطح الجسم المواجه لجهاز الرادار، وتغير هذا السطح أثناء حركة الهدف، فهدف مخروطي الشكل، قد يواجه الرادار بمقدمته ذات الشكل المدبب، ذي المساحة الصغيرة، أو يواجهه بسطح جانبي له مساحة أكبر، أو بأي وضع يقع بين هذين الوضعين، (اُنظر شكل المقطع الراداري)، يوضح قيمة مساحة المقطع الراداري لطائرة طرز B - 26، مقاسة معمليّاً من جميع الاتجاهات حول الطائرة، ويلاحظ التغير العشوائي لقيمة الانعكاسات بين زاوية رؤية وأخرى، كما يلاحظ أن أعلى قيمة للانعكاس تحدث عندما يكون اتجاه مسار الطائرة، مماسّاً لسطح الكرة التي يقع جهاز الرادار في مركزها.

(4) طبيعة مادة الجسم، ونوعية السطح، والطلاء السطحي، حيث إنه توجد مواد تمتص نسباً كبيرة من الطاقة الساقطة عليها، وتقلل قيمة الطاقة المنعكسة، كما أن هناك أسطحاً وطلاءات ممتصة للطاقة، وأخرى مشتتة للطاقة بعيداً عن الاتجاه التي تسقط منه، أي أن الطاقة المرتدة في اتجاه الرادار تكون أقل ما يمكن.

(5) (اُنظر جدول المقطع الراداري لبعض الأجسام) يوضح بعض المقاطع الرادارية، لأجسام معروفة، مقاسة معمليّاً، عند طول موجي 10سم؛ يسعى منتجو الأسلحة المختلفة، إلى تقليل مساحة المقطع الراداري، تجنباً للاكتشاف بواسطة أجهزة المراقبة الرادارية المختلفة، ويحدث ذلك بأحد الطرق الآتية:

·      التصميم الهندسي للجسم بتجنب الزوايا الحادة، والأركان العاكسة في الجسم.

·      استخدام مواد خاصة في بناء الأجسام، لها خاصية امتصاص الموجات الكهرومغنطيسية.

·      استخدام بعض الطلاءات الخاصة، القادرة على امتصاص الإشعاع الراداري، أو تشتيته.

4. طاقة الإرسال

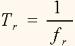
في الصيغة البسيطة للمعادلة الرادارية، يعبر الرمز Pt عن القيمة العظمى للقدرة المرسلة،Peak Power . أما الطاقة المتوسطة للقدرة Pav، فهي الطاقة المرسلة موزعة على فترة تكرار النبضات، فإذا كانت الموجة الرادارية عبارة عن قطار من النبضات المستطيلة، عرض كل منها  وبزمن تكرار Tr

فإن القدرة العظمى، والقدرة المتوسطة، ترتبطان بالعلاقة الآتية:

ويطلق على النسبة

مصطلح "معامل الأداء الدوري" duty cycle ؛ رادار نبضي نمطي، يمكن أن يكون معامل أدائه الدوري يساوي 0.001 أو أقل، بينما هذا المعامل لرادار موجة مستمرة يساوي1.

يمكن كتابة معادلة المدى الراداري باستخدام القيمة المتوسطة للقدرة Pav، بدلا من القيمة العظمى لها Pt:

مع ملاحظة أن Bn "حيز مرور جهاز الاستقبال " و t "عرض النبضات" يرتبطان بشكل الموجات الرادارية، وفي معظم أنواع الرادارات يكون حاصل الضرب يساوي الواحد الصحيح.

5. مواصفات الهوائي

معظم الرادارات تستخدم هوائيات اتجاهية directive للإرسال والاستقبال، فأثناء الإرسال، يقوم هوائي الإرسال بتركيز الطاقة المرسلة، داخل نموذج إشعاعي في اتجاه الهدف ويعدّ كسب الهوائي G مقياساً للقدرة المشعة في اتجاه معين، بواسطة هوائي اتجاهي، مقارنة بالقدرة التي يشعها هوائي غير اتجاهي إذا تم تغذيتهم بنفس قدرة الدخل Pin. كسب الهوائي يتغير بتغير اتجاه الهدف بالنسبة لمحور الهوائي، فإذا كان أكبر من الواحد الصحيح في بعض الاتجاهات فإنه يكون أقل من الواحد في اتجاهات أخرى، ولذلك تستخدم القيمة العظمى لكسب الهوائي في صياغة معادلة المدى الراداري.

لا تتغير مواصفات الهوائي، إذا ما استخدم في الإرسال أو الاستقبال، وعلى هذا الأساس فإن قيم الكسب، والمساحة الفعالة للهوائي، لا تتغير. النموذج الإشعاعي للهوائي هو رسم بياني لقيمة كسب الهوائي في اتجاهات مختلفة، وأشهر النماذج الإشعاعية المستخدمة في أجهزة الرادار هو النموذج الإشعاعي القلمي Pencil beam shape والنموذج المروحي، Fan beam (اُنظر شكل النموذج الإشعاعي القلمي). يستخدم النموذج القلمي عادة في أجهزة التتبع الراداري، والرادارات التي يكون مطلوب منها قياس الوضع الزاوي للهدف بصفة مستمرة، مثل رادارات إدارة النيران للمدفعية والصواريخ. أما النموذج المروحي فيستخدم عادة في رادارات البحث، وهو لا يحقق قدرة تمييز عالية في قياس زاوية الارتفاع.

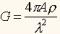
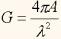
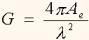
يمكن توليد النموذج الإشعاعي القلمي باستخدام عاكس هوائي معدني على شكل قطع مكافئ مجسم، مع وضع المشع في بؤرة العاكس؛ النموذج الإشعاعي الضيق يحتاج إلى وقت كبير لتفتيش قطاع المسئولية بالكامل، زمن كبير لدورة البحث الواحدة، أي العودة إلى نقطة البداية مرة أخرى بعد تغطية كل قطاع المسؤولية، هذا الزمن الكبير يتعارض مع سرعة وعدد الأهداف التي قد يواجهها الرادار، ولذلك يستخدم رادار آخر، ذو نموذج إشعاعي أكثر اتساعاً، لاكتشاف الأهداف الموجودة داخل قطاع المسئولية، وبناءً على المعلومات الناتجة من عملية البحث، يوجه النموذج الضيق القلمي مباشرة إلى الخلية الموجود داخلها الهدف المطلوب تتبعه، والحصول على معلومات عنه بصورة أدق. يطلق على الرادار ذي النموذج الإشعاعي المتسع "رادار تخصيص الأهداف" Acquisition radar. يرتبط كسب الهوائي والمساحة الفعالة لسطح الهوائي بالعلاقة الرياضية التالية:

حيث فعالية الهوائي، طول الموجة المشعة بواسطة الهوائي، A المساحة الطبيعية للهوائي؛ ويطلق على حاصل الضرب المساحة الفعالة للهوائي، ويرمز لها بالرمز Ae، وتصبح العلاقة كالتالي:

وتحسب زاوية النموذج الإشعاعي من العلاقة:

حيث l هو بعد الهوائي مقاساً في نفس مستوي قياس الزاوية q .

6. عوامل مرتبطة بانتشار الموجات:

لا يدخل في مكونات معادلة الرادار أي معامل يوضح تأثير الوسط الذي تنتشر خلاله الموجة الرادارية؛ هذا يعني أن المعادلة السابقة صالحة للتطبيق فقط إذا كان وسط الانتشار فراغاً مثاليّاً، لا يؤثر بأي صورة على التنبؤ بأقصى مدى للرادار.

الوسط الطبيعي الذي يعمل من خلاله جهاز الرادار، ويؤدي وظائفه، يختلف اختلافاً جوهريّاً مع فرضية الفراغ المثالي في العديد من الأوجه أهمها:

أ. التوهين

الغازات والأبخرة المكونة للغلاف الجوي للكرة الأرضية، توهن الموجات الكهرومغناطيسية المنتشرة، وتكون النتيجة زيادة في فقد الطاقة، مقارنة بالانتشار في الفضاء المثالي. يتوقف مقدار التوهين على تردد الموجة الرادارية، وكذلك على نوعية الغازات المكونة للغلاف الجوي في منطقة الانتشار. يمكن إهمال تأثير التوهين الجوي عند الترددات المنخفضة للرادار، ولكنها تصبح ذات تأثير قوي بدءاً من ترددات الحيز X حتى أنها تعد العامل الرئيس، الذي يحول دون استخدام الموجات الملليمترية في الرادارات[10].

لإظهار تأثير التوهين في معادلة الرادار، يجب أن تحتوي على معامل يعبر عن قيمة التوهين الذي يحدث للموجة الرادارية ذهاباً وإياباً؛ ونجد الصيغة الرياضية لهذا المعامل كالتالي:

حيث R مدى الرادار، و معامل التوهين للوسط

ب. الحيود

تتغير كثافة طبقات الجو مع تغير الارتفاع، وهذا التغير يؤدي إلى حيود الموجة الرادارية أثناء اختراقها لتلك الطبقات، بصورة مشابهة لما يحدث للموجات الضوئية عند اختراقها منشوراً زجاجيّاً؛ يعد بخار الماء العنصر الرئيس المسبب لحيود الموجة الرادارية في طبقات الجو المنخفضة، واتخاذها لمسار منحنٍ قرب سطح الأرض؛ هذا يعني أنه إذا كانت الموجة الرادارية تحمل طاقة كبيرة نسبيّاً، فإن انحناءها حول سطح الأرض، قد يسمح باكتشاف أهداف منخفضة، لا يوجد بينها وبينه خط رؤية مباشرة، (اُنظر شكل الانتشار غير الطبيعي)؛ يطلق على هذه الظاهرة التي تحدث عند ارتفاع درجة الرطوبة، "ظاهرة النفق" ducting.

ج. ظاهرة الفصوص الإشعاعية Lobing:

لا يتوقف تأثير سطح الأرض على حجب الأهداف خلف الظواهر الأرضية، أو نتيجة لانحناء سطح الكرة الأرضية، ولكن له تأثير خطير حتى على الأهداف الواقعة في مجال الاكتشاف الصريح. وهناك شعاعان راداريان يصلان إلى الهدف، أولهما يصل مباشرة من جهاز الرادار، والثاني يصل بعد انعكاسه من على سطح الأرض، (اُنظر شكل تأثير الانعكاس)، تتداخل هذه الأشعة معاً عند هوائي الاستقبال، وقد يكون هذا التداخل بنّاءً أو هدّاماً، أي أن الإشارة المرتدة من الهدف، قد تكون قيمتها أكبر من تلك المتوقعة من معادلة الرادار، أوقد تكون قيمتها أقل، في بعض الأحيان تصل إلى الصفر، أي أنه لا يتم اكتشاف الهدف كلية، ومن التجربة العملية لوحظ أن هذه الظاهرة تؤدي إلى مضاعفة قيمة المدى الراداري تقريباً عند بعض زوايا الارتفاع، في مقابل تغطية صفرية، عند زوايا ارتفاع أخرى (اُنظر شكل ظاهرة الفصوص الإشعاعية).

7. المعادلة العامة للرادار

تتدخل عناصر عديدة في تحديد المدى الراداري، فتصبح الصورة الأعم للمعادلة الرادارية كما يلي:

حيث Rmax أقصى مدى لجهاز الرادار، وG كسب الهوائي، وA مساحة سطح الهوائي، و R فعالية الهوائي، وn عدد النبضات المكاملة، وEI فعالية التكامل، وLs فقد النظام، وa معامل توهين الوسط، و s المقطع الراداري للهدف، وFn الرقم الضوضائي لجهاز الاستقبال، و K ثابت بولتزمان، وTo درجة الحرارة القياسية (290 درجة)، وBn حيز مرور جهاز الاستقبال، و t العرض الزمني للنبضات، وfr تردد تكرار النبضات، و(S/N)1 مستوى الإشارة إلى الضوضاء لجهاز الاستقبال لكل نبضة.

العلاقات الرياضية التالية تكمل المعلومات اللازمة للمعادلة الرادارية:

حيث nB عدد النبضات المستقبلة أثناء إضاءة الهدف، وwm سرعة دوران الهوائي، وPt القيمة العظمى للقدرة، وl البعد الخطي للهوائي.



[1] في لغة علوم الرادار يستخدم لفظا `مدى الهدف` و`مسافة الهدف ` بالمعنى نفسه، وهو المسافة الفراغية بين أحداثي موقع الرادار وموقع الهدف؛ بينما يستخدم لفظ المسافة الأرضية للهدف للتعبير عن طول مسقط مسافة الهدف على مستوى أفقي

[2] يعرف كسب الهوائي بأنه النسبة بين القيمة القصوى للإشعاع من الهوائي الاتجاهي، إلى قيمة الإشعاع الناتج من هوائي لا اتجاهي، على أن يغذى كلاهما بالقدرة نفسها؛ كسب الهوائي خاصية تضاعف من الطاقة المشعة من الهوائي في اتجاه معين على حساب الاتجاهات الأخرى

[3] المقطع الراداري للهدف هو أحد خواص الهدف التي تعبر عن حجم الهدف كما يراه جهاز الرادار

[4] المساحة الفعالة Ar للهوائي هي مساحة افتراضية للهوائي تتوقف على تردد الموجات التي يشعها أو يستقبلها الرادار

[5] جهاز الاستقبال السوبرهتروداينى، هو جهاز استقبال يتعامل مع حيز كبير من الترددات وقابل للتوليف؛ يعتمد أساسا على مذبذب محلى، يمكن تغير التردد الناتج منه؛ يتم تغيير تردد المذبذب المحلى بحيث يكون الفرق بين تردد المذبذب المحلى fLO والتردد المستقبل   fr   دائما فرق ثابت، يطلق عليه التردد البيني Intermdeate   frequency واختصاره الشائع IF "

[6] عملية التوليف، هي عملية يتم فيها تغيير قيم بعض مكونات دوائر الاستقبال، لتكون في الحالة الأكثر ملاءمة للتردد المستقبل

[7] يسهل تصميم و بناء دوائر تكبير ضيقة النطاق الترددي وذات معامل تكبير عالي، كلما انخفض التردد

[8] الإشارات المرتدة من الهدف تكون دائما لها نفس الإشارة الجبرية، وجمعها يؤدي دائما إلي زيادة في القيمة، أما الضوضاء فلها صفة العشوائية، و جمعها لا يؤدي إلي زيادة في القيمة

[9] قيم معامل التحسين ترتبط ارتباطاً وثيقاً بقيمة احتمال كشف الأهداف Probability of detection   ومعدل الإنذار الكاذب False Alarm rate ؛ فكلما كان مطلوبا تحقيق احتمال اكتشاف عال جدا (99%) عند معدل إنذار كاذب ثابت يلزم زيادة عدد النبضات المكاملة (حوالي 100 نبضة ) للحصول على معامل تحسين تصل قيمته إلى 20

[10] يوجد استثناء لبعض حيزات التردد الخاصة التي يقل عندها التوهين وتسمح لبعض الاستخدامات الخاصة في الحيز الملليمترى؛ هذه الحيزات تقع حول الترددات 35، 94، 140، 220 جيجاهرتز