إرشادات مقترحات البحث معلومات خط الزمن الفهارس الخرائط الصور الوثائق الأقسام

مقاتل من الصحراء
Home Page / الأقســام / موضوعات علمية / التروبوسكاتر




وحدة مكبر قدرة تروبو
التروبو الإستراتيجي
التروبو التكتيكي
جهاز إرسال تروبو ITT
جهاز استقبال تروبو ITT

إنشاء ورقة شكل المسار
ورقة شكل جانبي
محطات إعادة الإذاعة
مخطط يوضح الكسب والفقد
مُبسط للتنوع الرباعي
أشكال مختلفة للمعيدات
معيد غير فعال
المسار بين المحطة أ ، ب
التنوع الترددي
التنوع الفراغي
العلاقة بين D. h. R
اتجاه تروبو سكاتر
توزيع المعدات داخل عربة
تروبو تكتيكي ينشأ بفردين
عاكس الهوائي




الفصل الثاني

أولاً: استخدام أنظمة التروبوسكاتر

إن أنظمة الاتصالات باستخدام الميكروويف، تنقسم إلى قسمين أساسين، هما: الاتصال باستخدام خط الرؤية المباشرLOS، ومواصلات التروبوسكاتر.

وفي نظام اتصالات خط الرؤية المباشر، يُحتاج إلى أجهزة إرسال ذات قدرة بسيطة، وتصل المسافة المستخدمة بين المحطات اللاسلكية، من عشرة إلى خمسين ميلاً للاتجاه الواحد، وتستخدم اتصالات خط الرؤية المباشر لمسافات أكبر في اتصالات الأقمار الصناعية بعضها ببعض في الفضاء.

وتستخدم أنظمة التروبوسكاتر أجهزة إرسال ذات قدرة عالية، تصل إلى 50 كيلو وات أو أكثر، ويمكن أن تصل مسافة الاتصال من 50 إلى 700 ميل للاتجاه الواحد، معتمداً على حيود المسار للموجات، وعلى انتشار موجات التروبو.

وتستخدم الاتجاهات اللاسلكية لخط الرؤية المباشر الترددات العالية جداً والترددات فوق العالية جداً، وقد جُربت الترددات فوق العالية قبل الحرب العالمية الثانية. ونظراً لزيادة عدد القنوات والحاجة إلى حيز ترددي أكبر، لم يكن بد من التعامل مع تردادت أكبر من هذه الترددات SHF، حيث توجد محاور ميكروويف تستخدم عرض نطاق للإشارة حتى عشرة ميجا هرتز، يمكن إرسالها لمسافة تصل عدة آلاف من الأميال، بمواصفات قياسية عالية، وباعتمادية كبيرة. ونظرياً، يمكن العمل باستخدام اتصالات خط الرؤية المباشر لمسافة، تصل إلى 300 أو 400 ميل وذلك بعمل محور لاسلكي، وهذا الأسلوب مكلف للغاية، حيث إنه يلزم وجود عدد كبير من محطات إعادة الإذاعة للوصول إلى هذه المسافات، مما يتطلب وجود وسيلة أخرى لإرسال المعلومات لمسافة كبيرة، باعتمادية كبيرة، وبأداء جيد.

وكان هذا هو المدخل إلى استخدام أنظمة التروبوسكاتر ذات قدرة إرسال كبير، حيث بدأت هذه الأنظمة تحتل مكانة كبيرة في اتصالات المسافات الطويلة، من دون الحاجة إلى عدد كبير من محطات إعادة الإذاعة.

وبدأت أنظمة التروبو تحتل أهمية كبيرة في الاتصالات العسكرية، سواء الإستراتيجية أو التكتيكية، كما تستخدم كذلك في المواصلات، التي يُحتاج فيها إلى التغلب على طبيعة التضاريس، وكذا الموانع المائية بين محطتي الإرسال والاستقبال. ومن تطبيقاتها المدنية الوصول بالاتصالات إلى الأماكن البعيدة ذات التجمعات السكنية الصغيرة.

1. مواصلات خط الرؤية المباشر

تُستخدم مواصلات خط الرؤية المباشر على نطاقٍ واسع، بموجة حاملة أكبر من 1 ميجا هرتز، وتُعدّ معظم تطبيقات شبكات الراديو مواصلات فرعية من هذه الاتصالات. ويُحمل الآتي على هذه المواصلات:

أ. القنوات التليفزيونية.

ب. المدلولات الرقمية.

ج. التلغراف والتليكس.

د. الفاكسيميلى.

هـ. الفيديو.

و. قنوات البرمجة.

وشكل الموجات إما أن يكون تناظرياً، وعادة معدلاً ترددياً FM، وإما رقمياً، وتعتمد هذه المواصلات على طبيعة الأرض، وتُعد المواصلات مع الأقمار الصناعية مواصلات خط رؤية مباشر. وهذه المواصلات تحتاج إلى خط خالٍ من أي عوائق بين محطة الإرسال ومحطة الاستقبال, وتستخدم مواصلات خط الرؤية المباشر محطات إعادة إذاعة بمسافات من عشرة إلى مائة كيلومتر.

وفي تصميم هذا النوع من المواصلات وتخطيطه، يُحتاج إلى أربع عمليات:

أ. التخطيط واختيار الموقع.

ب. رسم شكل المسار على الورق الخاص بذلك.

ج. مسح ميداني لموقعي محطة الإرسال ومحطة الاستقبال، وما بينهما في المسار.

د. تحليل هذا المسار.

2. التخطيط واختيار الموقع

يتكون مسار مواصلة الميكروويف من مسارٍ واحد أو عدة مسارات، وقد تُحمَّل بقنواتٍ رقمية، أو بقنوات تناظرية، ويجب مراعاة بعض الأمور، عند تصميم الاتجاه، من حيث، إذا كان اتجاهًا جديداً، أو منقولاً من مكان إلى آخر، أو موجوداً داخل منطقةٍ آهلة بالسكان، أو به اتجاهات أُخرى، مثل محطة تليفزيون، أو محطات خاصة، وقد يكون هذا الاتجاه جزءاً من مواصلة إستراتيجية، أو في نهاية هذه المواصلة.

في الأنظمة العسكرية يتم التخطيط على أساس المواصفات القياسية العسكرية 188 STD188- - MIL وملحقاتها. وإذا كان هذا الاتجاه مُحملاً بقنوات فيديو، وقنوات معلومات رقمية يُخطط طبقاً لتوصيات الهيئة الاستشارية الدولية للراديو CCIR وطبقاً للآتي:

أ. في أنظمة الإرسال التناظرية يُراعى الآتي:

(1) الضوضاء الموجودة داخل القناة الهاتفية بمضاعف التقسيم الترددي FDM.

(2) أن تكون نسبة الإشارة إلى الضوضاء 57 ديسبل أو أكثر في 20% من الشهر، و45 ديسبل أكثر في 0.1% من الشهر.

ب. في الأنظمة الرقمية يُراعى الآتي:

(1) معدل الخطأ في النبضات 1.10-6 أقل من 10% للدقيقة.

(2) أكثر من  1.10-6لأكثر من 90% للدقيقة.  

(3) ويقدر العمر الافتراضي لاتجاهات خط الرؤية المباشر بحوالي 15 سنة، ويجب أن يؤخذ في الاعتبار عملية التحسين المستقبلي في النظام في حدود خمس سنوات أخرى عن العمر الافتراضي، وهذه الزيادة تتوقف على:

(أ)     حجم المبنى، ومساحة المكان، وتحمل الأرض, ومنبع التغذية الدائم, والتكييف.

(ب) تخطيط الترددات الموجودة بالموقع.

(ج) الإنشاء (التوصيلات الداخلية).

ج. اختيار الموقع

(1) يجب استخدام خرائط طوبوغرافية دقيقة، لتحديد مكان الإحداثيات الخاصة بالموقعين المراد إنشاء اتجاه لاسلكي متعدد القنوات بينهما، ويتم ذلك عادة على خرائط بمقياس رسم 1:250.000، ويوقع إحداثيا الموقعين على الخريطة، ويؤخذ في الاعتبار تقليل محطات إعادة الإذاعة في مسار الاتصال كل ما أمكن.

(2) يجب مراعاة استغلال الأماكن العالية، لتقليل ارتفاع الأبراج المتاحة بالموقع، ويجب أن لا يزيد ارتفاع البرج عن 300 قدم.

(3) في حالة عدم وجود عوائق في اتجاه المواصلة، فإن مسافة الاتصال تصل إلى حوالي 45ميلاً باستخدام معامل تحدب الأرض4\3 K.

(4) يتم عمل الرسومات النهائية للمسار على خرائط طوبوغرافية، بمقياس رسم من25.000:1 إلى 63.000:1 وذات كنتورات للأرض بمسافات ثلاثة أمتار.

ويتم توصيل النقطتين الموقعين على الخريطة بواسطة خط مستقيم لحساب ارتفاعات الأبراج المطلوبة في كلا الجانبين. و يجب أن ترُاعى الاعتبارات الآتية، عند اختيار الموقع:

(أ) وجود المكان بعد اختياره على الخريطة.

(ب) إمكانية الوصول إلى هذا المكان.

(ج) قيود استخدام المكان مثل قربه من المطارات.

(د) الأحوال المناخية مثل سقوط الثلج.

(هـ) قرب المكان من المناطق الساحلية، أو وجود المسار على مسطحات مائية، أو صحراء تعمل على انعكاس الموجات.

د. الرسم الجانبي للمسار:

يمثل الرسم الجانبي تمثيلاً بالرسم للمسار بين الموقعين، وذلك بإحداثيات ثنائية س، ص، ومن هذا الرسم، يمكن حساب ارتفاع الأبراج، بحيث لا يعوق مسار الشعاع بين المحطتين أي عائق. وكذلك يوفر هذا الرسم تخيلاً كاملاً عن سماحية الشعاع من العائق، وهذا عامل مهم جداً في حسابات خط الرؤية المباشر. وتوجد ثلاث طرق لرسم هذا المسار:

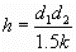
(1) طريقة خطية كاملة، وذلك باستخدام ورقة رسم بياني، وبها يتم رسم خط بين محطة الإرسال ومحطة الاستقبال؛ للتعرف على مدى سماحية المسار من العوائق، ويُحسب انحناء مسار الشعاع نتيجة كروية الأرض من العلاقة الآتية:

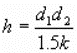
حيث h التغير في المسافة الرأسية بالقدم من الخط الأفقي، d1,d2 بعد المسافة بين النقطة المراد حساب كروية الأرض عندها، وإحداثي المحطتين، ووحدة قياسها الميل، بينما وحدة قياس h بالقدم، k معامل كروية الأرض.

(2) ورق رسم بياني جاهز بمعامل انكسار للأرض مساو 4\3، ويعد المعامل k ثابتاً في هذه الحالة.

(3) طريقة الانحناء، و فيها تستخدم ورقة رسم بياني خطية، ويتم توقيع نقط العوائق العالية في المسار على هذه الورق، وذلك بتحديد ارتفاعها عن مستوى البحر، ثم يتم رسم مسار منحنٍ بين موقع الإرسال وموقع الاستقبال، ويكون الخط المنحني ذا انحناء مساو KR حيث K معامل كروية الأرض وR طول نصف قطر الكرة الأرضية، على أساس أنها كرة تامة الاستدارة، و يساوى 6370 كم، ويستخدم النظام الأول عادة في توقيع الشكل الجانبي للمسار.

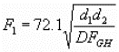
ويوقع رسم المسار الجانبي للشعاع بين الموقعين على أساس انحناء النقطة المراد حساب المانع عندها، بالعلاقات الآتية:

حيث d1,d2 بالميل، h بالقدم.

ويدخل هنا عامل جديد، وهو نطاق فرينيل الأول Fresnel zone، والذي يُحسب من العلاقة:

حيث F تساوى التردد بالجيجا هرتز، و F1 نصف قطر منطقة فرينيل الأولى مقاس بالقدم، d1+d2 = D حيث D تساوى المسافة بين الموقعين مقيسة بالميل، d1+d2 تساوى المسافة مقيسة من النقطة، التي يُحسب عندها نصف قطر فرينيل الأولى والموقعين، ويجب أن يكون نطاق فرينيل الأول خاليًا من العوائق كل ما أمكن، للحصول على مستوى استقبال جيد، ونسبة إشارة إلى ضوضاء جيدة.